/ algorithm  

计算机算法--图算法介绍

图的定义:

图(graph)由顶点(vertex)和边(edge)的集合组成,每一条边就是一个点对(v,w)。

图的种类:地图,电路图,调度图,事物,网络,程序结构

图的属性:有V个顶点的图最多有V*(V-1)/2条边

邻接矩阵:

邻接矩阵是一个元素为bool值的VV矩阵,若图中存在一条连接顶点V和W的边,折矩阵adj[v][w]=1,否则为0。占用的空间为VV,当图是稠密时,邻接矩阵是比较合适的表达方法。

邻接表的表示

对于非稠密的图,使用邻接矩阵有点浪费存储空间,可以使用邻接表,我们维护一个链表向量,给定一个顶点时,可以立即访问其链表,占用的空间为O(V+E)。


深度优先搜索

深度优先搜索介绍

图的深度优先搜索(Depth First Search),和树的先序遍历比较类似。

它的思想:假设初始状态是图中所有顶点均未被访问,则从某个顶点v出发,首先访问该顶点,然后依次从它的各个未被访问的邻接点出发深度优先搜索遍历图,直至图中所有和v有路径相通的顶点都被访问到。 若此时尚有其他顶点未被访问到,则另选一个未被访问的顶点作起始点,重复上述过程,直至图中所有顶点都被访问到为止。

显然,深度优先搜索是一个递归的过程。

深度优先搜索图解

无向图的深度优先搜索

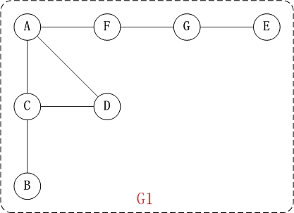
下面以”无向图”为例,来对深度优先搜索进行演示。

对上面的图G1进行深度优先遍历,从顶点A开始。

  • 第1步:访问A。
  • 第2步:访问(A的邻接点)C。

    在第1步访问A之后,接下来应该访问的是A的邻接点,即”C,D,F”中的一个。但在本文的实现中,顶点ABCDEFG是按照顺序存储,C在”D和F”的前面,因此,先访问C。

  • 第3步:访问(C的邻接点)B。

    在第2步访问C之后,接下来应该访问C的邻接点,即”B和D”中一个(A已经被访问过,就不算在内)。而由于B在D之前,先访问B。

  • 第4步:访问(C的邻接点)D。

    在第3步访问了C的邻接点B之后,B没有未被访问的邻接点;因此,返回到访问C的另一个邻接点D。

  • 第5步:访问(A的邻接点)F。

    前面已经访问了A,并且访问完了”A的邻接点B的所有邻接点(包括递归的邻接点在内)”;因此,此时返回到访问A的另一个邻接点F。

  • 第6步:访问(F的邻接点)G。

  • 第7步:访问(G的邻接点)E。

因此访问顺序是:A -> C -> B -> D -> F -> G -> E

有向图的深度优先搜索

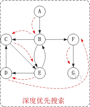
下面以”有向图”为例,来对深度优先搜索进行演示。

对上面的图G2进行深度优先遍历,从顶点A开始。

  • 第1步:访问A。

  • 第2步:访问B。

    在访问了A之后,接下来应该访问的是A的出边的另一个顶点,即顶点B。

  • 第3步:访问C。

    在访问了B之后,接下来应该访问的是B的出边的另一个顶点,即顶点C,E,F。在本文实现的图中,顶点ABCDEFG按照顺序存储,因此先访问C。

  • 第4步:访问E。

    接下来访问C的出边的另一个顶点,即顶点E。

  • 第5步:访问D。

    接下来访问E的出边的另一个顶点,即顶点B,D。顶点B已经被访问过,因此访问顶点D。

  • 第6步:访问F。

    接下应该回溯”访问A的出边的另一个顶点F”。

  • 第7步:访问G。

因此访问顺序是:A -> B -> C -> E -> D -> F -> G


广度优先搜索

广度优先搜索介绍

广度优先搜索算法(Breadth First Search),又称为”宽度优先搜索”或”横向优先搜索”,简称BFS。

它的思想是:从图中某顶点v出发,在访问了v之后依次访问v的各个未曾访问过的邻接点,然后分别从这些邻接点出发依次访问它们的邻接点,并使得“先被访问的顶点的邻接点先于后被访问的顶点的邻接点被访问,直至图中所有已被访问的顶点的邻接点都被访问到。如果此时图中尚有顶点未被访问,则需要另选一个未曾被访问过的顶点作为新的起始点,重复上述过程,直至图中所有顶点都被访问到为止。

换句话说,广度优先搜索遍历图的过程是以v为起点,由近至远,依次访问和v有路径相通且路径长度为1,2…的顶点。

广度优先搜索图解

无向图的广度优先搜索

下面以”无向图”为例,来对广度优先搜索进行演示。还是以上面的图G1为例进行说明。

  • 第1步:访问A。
  • 第2步:依次访问C,D,F。

    在访问了A之后,接下来访问A的邻接点。前面已经说过,在本文实现中,顶点ABCDEFG按照顺序存储的,C在”D和F”的前面,因此,先访问C。再访问完C之后,再依次访问D,F。

  • 第3步:依次访问B,G。

    在第2步访问完C,D,F之后,再依次访问它们的邻接点。首先访问C的邻接点B,再访问F的邻接点G。

  • 第4步:访问E。

    在第3步访问完B,G之后,再依次访问它们的邻接点。只有G有邻接点E,因此访问G的邻接点E。

因此访问顺序是:A -> C -> D -> F -> B -> G -> E

有向图的广度优先搜索

下面以”有向图”为例,来对广度优先搜索进行演示。还是以上面的图G2为例进行说明。

  • 第1步:访问A。

  • 第2步:访问B。

  • 第3步:依次访问C,E,F。

    在访问了B之后,接下来访问B的出边的另一个顶点,即C,E,F。前面已经说过,在本文实现中,顶点ABCDEFG按照顺序存储的,因此会先访问C,再依次访问E,F。

  • 第4步:依次访问D,G。

    在访问完C,E,F之后,再依次访问它们的出边的另一个顶点。还是按照C,E,F的顺序访问,C的已经全部访问过了,那么就只剩下E,F;先访问E的邻接点D,再访问F的邻接点G。

因此访问顺序是:A -> B -> C -> E -> F -> D -> G

搜索算法的源码

1. 邻接矩阵表示的”无向图


1
2
3
4
5
6
7
8
9
10
11
12
13
14
15
16
17
18
19
20
21
22
23
24
25
26
27
28
29
30
31
32
33
34
35
36
37
38
39
40
41
42
43
44
45
46
47
48
49
50
51
52
53
54
55
56
57
58
59
60
61
62
63
64
65
66
67
68
69
70
71
72
73
74
75
76
77
78
79
80
81
82
83
84
85
86
87
88
89
90
91
92
93
94
95
96
97
98
99
100
101
102
103
104
105
106
107
108
109
110
111
112
113
114
115
116
117
118
119
120
121
122
123
124
125
126
127
128
129
130
131
132
133
134
135
136
137
138
139
140
141
142
143
144
145
146
147
148
149
150
151
152
153
154
155
156
157
158
159
160
161
162
163
164
165
166
167
168
169
170
171
172
173
174
175
176
177
178
179
180
181
182
183
184
185
186
187
188
189
190
191
192
193
194
195
196
197
198
199
200
201
202
203
204
205
206
207
208
209
210
211
212
213
214
215
216
217
218
219
220
221
222
223
224
225
226
227
228
229
230
231
232
233
234
235
236
237
238
239
240
241
242
243
244
245
246
247
248
249
250
251
252
253
254
255
256
257
258
259
260
261
262
263
264
265
266
267
268
269
270
271
272
273
274
275
276
277
278
279
280
281
282
283
284
285
286
287
288
289
290
291
292
293
294
295
296
297
298
299
/**
* C++: 邻接矩阵表示的"无向图(Matrix Undirected Graph)"
*
* @author LippiOuYang
* @date 2013/04/19
*/

#include <iomanip>
#include <iostream>
#include <vector>
using namespace std;

#define MAX 100
class MatrixUDG {
private:
char mVexs[MAX]; // 顶点集合
int mVexNum; // 顶点数
int mEdgNum; // 边数
int mMatrix[MAX][MAX]; // 邻接矩阵

public:
// 创建图(自己输入数据)
MatrixUDG();
// 创建图(用已提供的矩阵)
MatrixUDG(char vexs[], int vlen, char edges[][2], int elen);
~MatrixUDG();

// 深度优先搜索遍历图
void DFS();
// 广度优先搜索(类似于树的层次遍历)
void BFS();
// 打印矩阵队列图
void print();

private:
// 读取一个输入字符
char readChar();
// 返回ch在mMatrix矩阵中的位置
int getPosition(char ch);
// 返回顶点v的第一个邻接顶点的索引,失败则返回-1
int firstVertex(int v);
// 返回顶点v相对于w的下一个邻接顶点的索引,失败则返回-1
int nextVertex(int v, int w);
// 深度优先搜索遍历图的递归实现
void DFS(int i, int *visited);
};

/*
* 创建图(自己输入数据)
*/
MatrixUDG::MatrixUDG()
{
char c1, c2;
int i, p1, p2;

// 输入"顶点数"和"边数"
cout << "input vertex number: ";
cin >> mVexNum;
cout << "input edge number: ";
cin >> mEdgNum;
if ( mVexNum < 1 || mEdgNum < 1 || (mEdgNum > (mVexNum * (mVexNum-1))))
{
cout << "input error: invalid parameters!" << endl;
return ;
}

// 初始化"顶点"
for (i = 0; i < mVexNum; i++)
{
cout << "vertex(" << i << "): ";
mVexs[i] = readChar();
}

// 初始化"边"
for (i = 0; i < mEdgNum; i++)
{
// 读取边的起始顶点和结束顶点
cout << "edge(" << i << "): ";
c1 = readChar();
c2 = readChar();

p1 = getPosition(c1);
p2 = getPosition(c2);
if (p1==-1 || p2==-1)
{
cout << "input error: invalid edge!" << endl;
return ;
}

mMatrix[p1][p2] = 1;
mMatrix[p2][p1] = 1;
}
}

/*
* 创建图(用已提供的矩阵)
*
* 参数说明:
* vexs -- 顶点数组
* vlen -- 顶点数组的长度
* edges -- 边数组
* elen -- 边数组的长度
*/
MatrixUDG::MatrixUDG(char vexs[], int vlen, char edges[][2], int elen)
{
int i, p1, p2;

// 初始化"顶点数"和"边数"
mVexNum = vlen;
mEdgNum = elen;
// 初始化"顶点"
for (i = 0; i < mVexNum; i++)
mVexs[i] = vexs[i];

// 初始化"边"
for (i = 0; i < mEdgNum; i++)
{
// 读取边的起始顶点和结束顶点
p1 = getPosition(edges[i][0]);
p2 = getPosition(edges[i][1]);

mMatrix[p1][p2] = 1;
mMatrix[p2][p1] = 1;
}
}

/*
* 析构函数
*/
MatrixUDG::~MatrixUDG()
{
}

/*
* 返回ch在mMatrix矩阵中的位置
*/
int MatrixUDG::getPosition(char ch)
{
int i;
for(i=0; i<mVexNum; i++)
if(mVexs[i]==ch)
return i;
return -1;
}

/*
* 读取一个输入字符
*/
char MatrixUDG::readChar()
{
char ch;
do {
cin >> ch;
} while(!((ch>='a'&&ch<='z') || (ch>='A'&&ch<='Z')));

return ch;
}

/*
* 返回顶点v的第一个邻接顶点的索引,失败则返回-1
*/
int MatrixUDG::firstVertex(int v)
{
int i;
if (v<0 || v>(mVexNum-1))
return -1;

for (i = 0; i < mVexNum; i++)
if (mMatrix[v][i] == 1)
return i;
return -1;
}

/*
* 返回顶点v相对于w的下一个邻接顶点的索引,失败则返回-1
*/
int MatrixUDG::nextVertex(int v, int w)
{
int i;
if (v<0 || v>(mVexNum-1) || w<0 || w>(mVexNum-1))
return -1;

for (i = w + 1; i < mVexNum; i++)
if (mMatrix[v][i] == 1)
return i;

return -1;
}

/*
* 深度优先搜索遍历图的递归实现
*/
void MatrixUDG::DFS(int i, int *visited)
{
int w;
visited[i] = 1;
cout << mVexs[i] << " ";
// 遍历该顶点的所有邻接顶点。若是没有访问过,那么继续往下走
for (w = firstVertex(i); w >= 0; w = nextVertex(i, w)) {
if (!visited[w])
DFS(w, visited);
}
}

/*
* 深度优先搜索遍历图
*/
void MatrixUDG::DFS()
{
int i;
int visited[MAX]; // 顶点访问标记

// 初始化所有顶点都没有被访问
for (i = 0; i < mVexNum; i++)
visited[i] = 0;

cout << "DFS: ";
for (i = 0; i < mVexNum; i++) {
//printf("\n== LOOP(%d)\n", i);
if (!visited[i])
DFS(i, visited);
}
cout << endl;
}

/*
* 广度优先搜索(类似于树的层次遍历)
*/
void MatrixUDG::BFS()
{
int head = 0;
int rear = 0;
int queue[MAX]; // 辅组队列
int visited[MAX]; // 顶点访问标记
int i, j, k;

for (i = 0; i < mVexNum; i++)
visited[i] = 0;

cout << "BFS: ";
for (i = 0; i < mVexNum; i++) {
if (!visited[i]) {
visited[i] = 1;
cout << mVexs[i] << " ";
queue[rear++] = i; // 入队列
}
while (head != rear) {
j = queue[head++]; // 出队列
for (k = firstVertex(j); k >= 0; k = nextVertex(j, k)) { //k是为访问的邻接顶点
if (!visited[k]) {
visited[k] = 1;
cout << mVexs[k] << " ";
queue[rear++] = k;
}
}
}
}
cout << endl;
}

/*
* 打印矩阵队列图
*/
void MatrixUDG::print()
{
int i,j;
cout << "Martix Graph:" << endl;
for (i = 0; i < mVexNum; i++) {
for (j = 0; j < mVexNum; j++)
cout << mMatrix[i][j] << " ";
cout << endl;
}
}

int main()
{
char vexs[] = {'A', 'B', 'C', 'D', 'E', 'F', 'G'};
char edges[][2] = {
{'A', 'C'},
{'A', 'D'},
{'A', 'F'},
{'B', 'C'},
{'C', 'D'},
{'E', 'G'},
{'F', 'G'}};
int vlen = sizeof(vexs)/sizeof(vexs[0]);
int elen = sizeof(edges)/sizeof(edges[0]);
MatrixUDG* pG;

// 自定义"图"(输入矩阵队列)
// pG = new MatrixUDG();
// 采用已有的"图"
pG = new MatrixUDG(vexs, vlen, edges, elen);
pG->print(); // 打印图
pG->DFS(); // 深度优先遍历
pG->BFS(); // 广度优先遍历

return 0;
}


2. 邻接表表示的”无向图

1
2
3
4
5
6
7
8
9
10
11
12
13
14
15
16
17
18
19
20
21
22
23
24
25
26
27
28
29
30
31
32
33
34
35
36
37
38
39
40
41
42
43
44
45
46
47
48
49
50
51
52
53
54
55
56
57
58
59
60
61
62
63
64
65
66
67
68
69
70
71
72
73
74
75
76
77
78
79
80
81
82
83
84
85
86
87
88
89
90
91
92
93
94
95
96
97
98
99
100
101
102
103
104
105
106
107
108
109
110
111
112
113
114
115
116
117
118
119
120
121
122
123
124
125
126
127
128
129
130
131
132
133
134
135
136
137
138
139
140
141
142
143
144
145
146
147
148
149
150
151
152
153
154
155
156
157
158
159
160
161
162
163
164
165
166
167
168
169
170
171
172
173
174
175
176
177
178
179
180
181
182
183
184
185
186
187
188
189
190
191
192
193
194
195
196
197
198
199
200
201
202
203
204
205
206
207
208
209
210
211
212
213
214
215
216
217
218
219
220
221
222
223
224
225
226
227
228
229
230
231
232
233
234
235
236
237
238
239
240
241
242
243
244
245
246
247
248
249
250
251
252
253
254
255
256
257
258
259
260
261
262
263
264
265
266
267
268
269
270
271
272
273
274
275
276
277
278
279
280
281
282
283
284
285
286
287
288
289
290
291
292
293
294
295
296
297
298
299
300
301
302
303
304
305
306
307
308
309
310
311
312
313
314
315
316
317
318
319
320
321
322
323
324
325
326
327
328
329
330
331
332
333
334
335
336
337
338
339
340
341
342
343
/**
* C++: 邻接表表示的"无向图(List Undirected Graph)"
*
* @author LippiOuYang
* @date 2013/04/19
*/

#include <iomanip>
#include <iostream>
#include <vector>
using namespace std;

#define MAX 100
// 邻接表
class ListUDG
{
private: // 内部类
// 邻接表中表对应的链表的顶点
class ENode
{
public:
int ivex; // 该边所指向的顶点的位置
ENode *nextEdge; // 指向下一条弧的指针
};

// 邻接表中表的顶点
class VNode
{
public:
char data; // 顶点信息
ENode *firstEdge; // 指向第一条依附该顶点的弧
};

private: // 私有成员
int mVexNum; // 图的顶点的数目
int mEdgNum; // 图的边的数目
VNode mVexs[MAX];

public:
// 创建邻接表对应的图(自己输入)
ListUDG();
// 创建邻接表对应的图(用已提供的数据)
ListUDG(char vexs[], int vlen, char edges[][2], int elen);
~ListUDG();

// 深度优先搜索遍历图
void DFS();
// 广度优先搜索(类似于树的层次遍历)
void BFS();
// 打印邻接表图
void print();

private:
// 读取一个输入字符
char readChar();
// 返回ch的位置
int getPosition(char ch);
// 深度优先搜索遍历图的递归实现
void DFS(int i, int *visited);
// 将node节点链接到list的最后
void linkLast(ENode *list, ENode *node);
};

/*
* 创建邻接表对应的图(自己输入)
*/
ListUDG::ListUDG()
{
char c1, c2;
int v, e;
int i, p1, p2;
ENode *node1, *node2;

// 输入"顶点数"和"边数"
cout << "input vertex number: ";
cin >> mVexNum;
cout << "input edge number: ";
cin >> mEdgNum;
if ( mVexNum < 1 || mEdgNum < 1 || (mEdgNum > (mVexNum * (mVexNum-1))))
{
cout << "input error: invalid parameters!" << endl;
return ;
}

// 初始化"邻接表"的顶点
for(i=0; i<mVexNum; i++)
{
cout << "vertex(" << i << "): ";
mVexs[i].data = readChar();
mVexs[i].firstEdge = NULL;
}

// 初始化"邻接表"的边
for(i=0; i<mEdgNum; i++)
{
// 读取边的起始顶点和结束顶点
cout << "edge(" << i << "): ";
c1 = readChar();
c2 = readChar();

p1 = getPosition(c1);
p2 = getPosition(c2);
// 初始化node1
node1 = new ENode();
node1->ivex = p2;
// 将node1链接到"p1所在链表的末尾"
if(mVexs[p1].firstEdge == NULL)
mVexs[p1].firstEdge = node1;
else
linkLast(mVexs[p1].firstEdge, node1);
// 初始化node2
node2 = new ENode();
node2->ivex = p1;
// 将node2链接到"p2所在链表的末尾"
if(mVexs[p2].firstEdge == NULL)
mVexs[p2].firstEdge = node2;
else
linkLast(mVexs[p2].firstEdge, node2);
}
}

/*
* 创建邻接表对应的图(用已提供的数据)
*/
ListUDG::ListUDG(char vexs[], int vlen, char edges[][2], int elen)
{
char c1, c2;
int i, p1, p2;
ENode *node1, *node2;

// 初始化"顶点数"和"边数"
mVexNum = vlen;
mEdgNum = elen;
// 初始化"邻接表"的顶点
for(i=0; i<mVexNum; i++)
{
mVexs[i].data = vexs[i];
mVexs[i].firstEdge = NULL;
}

// 初始化"邻接表"的边
for(i=0; i<mEdgNum; i++)
{
// 读取边的起始顶点和结束顶点
c1 = edges[i][0];
c2 = edges[i][1];

p1 = getPosition(c1);
p2 = getPosition(c2);
// 初始化node1
node1 = new ENode();
node1->ivex = p2;
// 将node1链接到"p1所在链表的末尾"
if(mVexs[p1].firstEdge == NULL)
mVexs[p1].firstEdge = node1;
else
linkLast(mVexs[p1].firstEdge, node1);
// 初始化node2
node2 = new ENode();
node2->ivex = p1;
// 将node2链接到"p2所在链表的末尾"
if(mVexs[p2].firstEdge == NULL)
mVexs[p2].firstEdge = node2;
else
linkLast(mVexs[p2].firstEdge, node2);
}
}

/*
* 析构函数
*/
ListUDG::~ListUDG()
{
}

/*
* 将node节点链接到list的最后
*/
void ListUDG::linkLast(ENode *list, ENode *node)
{
ENode *p = list;

while(p->nextEdge)
p = p->nextEdge;
p->nextEdge = node;
}

/*
* 返回ch的位置
*/
int ListUDG::getPosition(char ch)
{
int i;
for(i=0; i<mVexNum; i++)
if(mVexs[i].data==ch)
return i;
return -1;
}

/*
* 读取一个输入字符
*/
char ListUDG::readChar()
{
char ch;
do {
cin >> ch;
} while(!((ch>='a'&&ch<='z') || (ch>='A'&&ch<='Z')));

return ch;
}

/*
* 深度优先搜索遍历图的递归实现
*/
void ListUDG::DFS(int i, int *visited)
{
ENode *node;

visited[i] = 1;
cout << mVexs[i].data << " ";
node = mVexs[i].firstEdge;
while (node != NULL)
{
if (!visited[node->ivex])
DFS(node->ivex, visited);
node = node->nextEdge;
}
}

/*
* 深度优先搜索遍历图
*/
void ListUDG::DFS()
{
int i;
int visited[MAX]; // 顶点访问标记

// 初始化所有顶点都没有被访问
for (i = 0; i < mVexNum; i++)
visited[i] = 0;

cout << "DFS: ";
for (i = 0; i < mVexNum; i++)
{
if (!visited[i])
DFS(i, visited);
}
cout << endl;
}

/*
* 广度优先搜索(类似于树的层次遍历)
*/
void ListUDG::BFS()
{
int head = 0;
int rear = 0;
int queue[MAX]; // 辅组队列
int visited[MAX]; // 顶点访问标记
int i, j, k;
ENode *node;

for (i = 0; i < mVexNum; i++)
visited[i] = 0;

cout << "BFS: ";
for (i = 0; i < mVexNum; i++)
{
if (!visited[i])
{
visited[i] = 1;
cout << mVexs[i].data << " ";
queue[rear++] = i; // 入队列
}
while (head != rear)
{
j = queue[head++]; // 出队列
node = mVexs[j].firstEdge;
while (node != NULL)
{
k = node->ivex;
if (!visited[k])
{
visited[k] = 1;
cout << mVexs[k].data << " ";
queue[rear++] = k;
}
node = node->nextEdge;
}
}
}
cout << endl;
}

/*
* 打印邻接表图
*/
void ListUDG::print()
{
int i,j;
ENode *node;

cout << "List Graph:" << endl;
for (i = 0; i < mVexNum; i++)
{
cout << i << "(" << mVexs[i].data << "): ";
node = mVexs[i].firstEdge;
while (node != NULL)
{
cout << node->ivex << "(" << mVexs[node->ivex].data << ") ";
node = node->nextEdge;
}
cout << endl;
}
}

int main()
{
char vexs[] = {'A', 'B', 'C', 'D', 'E', 'F', 'G'};
char edges[][2] = {
{'A', 'C'},
{'A', 'D'},
{'A', 'F'},
{'B', 'C'},
{'C', 'D'},
{'E', 'G'},
{'F', 'G'}};
int vlen = sizeof(vexs)/sizeof(vexs[0]);
int elen = sizeof(edges)/sizeof(edges[0]);
ListUDG* pG;

// 自定义"图"(输入矩阵队列)
//pG = new ListUDG();
// 采用已有的"图"
pG = new ListUDG(vexs, vlen, edges, elen);

pG->print(); // 打印图
pG->DFS(); // 深度优先遍历
pG->BFS(); // 广度优先遍历

return 0;
}



迪杰斯特拉算法

迪杰斯特拉(Dijkstra)算法是典型最短路径算法,用于计算一个节点到其他节点的最短路径。
它的主要特点是以起始点为中心向外层层扩展(广度优先搜索思想),直到扩展到终点为止。

基本思想

通过Dijkstra计算图G中的最短路径时,需要指定起点s(即从顶点s开始计算)。

此外,引进两个集合S和U。S的作用是记录已求出最短路径的顶点(以及相应的最短路径长度),而U则是记录还未求出最短路径的顶点(以及该顶点到起点s的距离)。

初始时,S中只有起点s;U中是除s之外的顶点,并且U中顶点的路径是”起点s到该顶点的路径”。然后,从U中找出路径最短的顶点,并将其加入到S中;接着,更新U中的顶点和顶点对应的路径。 然后,再从U中找出路径最短的顶点,并将其加入到S中;接着,更新U中的顶点和顶点对应的路径。 … 重复该操作,直到遍历完所有顶点。

操作步骤

  • (1)

    初始时,S只包含起点s;U包含除s外的其他顶点,且U中顶点的距离为”起点s到该顶点的距离”[例如,U中顶点v的距离为(s,v)的长度,然后s和v不相邻,则v的距离为∞]。

  • (2) 从U中选出”距离最短的顶点k”,并将顶点k加入到S中;同时,从U中移除顶点k。

  • (3)

    更新U中各个顶点到起点s的距离。之所以更新U中顶点的距离,是由于上一步中确定了k是求出最短路径的顶点,从而可以利用k来更新其它顶点的距离;例如,(s,v)的距离可能大于(s,k)+(k,v)的距离。

  • (4) 重复步骤(2)和(3),直到遍历完所有顶点。

单纯的看上面的理论可能比较难以理解,下面通过实例来对该算法进行说明。

5.3迪杰斯特拉算法图解

以上图G4为例,来对迪杰斯特拉进行算法演示(以第4个顶点D为起点)。

  • 初始状态:S是已计算出最短路径的顶点集合,U是未计算除最短路径的顶点的集合!

  • 第1步:将顶点D加入到S中。

    此时,S={D(0)}, U={A(∞),B(∞),C(3),E(4),F(∞),G(∞)}。 注:C(3)表示C到起点D的距离是3。

  • 第2步:将顶点C加入到S中。

    上一步操作之后,U中顶点C到起点D的距离最短;因此,将C加入到S中,同时更新U中顶点的距离。以顶点F为例,之前F到D的距离为∞;但是将C加入到S之后,F到D的距离为9=(F,C)+(C,D)。
    此时,S={D(0),C(3)}, U={A(∞),B(23),E(4),F(9),G(∞)}。

  • 第3步:将顶点E加入到S中。

    上一步操作之后,U中顶点E到起点D的距离最短;因此,将E加入到S中,同时更新U中顶点的距离。还是以顶点F为例,之前F到D的距离为9;但是将E加入到S之后,F到D的距离为6=(F,E)+(E,D)。

    此时,S={D(0),C(3),E(4)}, U={A(∞),B(23),F(6),G(12)}。

  • 第4步:将顶点F加入到S中。

    此时,S={D(0),C(3),E(4),F(6)}, U={A(22),B(13),G(12)}。

  • 第5步:将顶点G加入到S中。

    此时,S={D(0),C(3),E(4),F(6),G(12)}, U={A(22),B(13)}。

  • 第6步:将顶点B加入到S中。

    此时,S={D(0),C(3),E(4),F(6),G(12),B(13)}, U={A(22)}。

  • 第7步:将顶点A加入到S中。

    此时,S={D(0),C(3),E(4),F(6),G(12),B(13),A(22)}。

此时,起点D到各个顶点的最短距离就计算出来了:A(22) B(13) C(3) D(0) E(4) F(6) G(12)。


代码

本文以”邻接矩阵”为例对迪杰斯特拉算法进行说明,

基本定义

1
2
3
4
5
6
7
8
9
10
11
12
13
14
15
16
// 邻接矩阵
typedef struct _graph
{
char vexs[MAX]; // 顶点集合
int vexnum; // 顶点数
int edgnum; // 边数
int matrix[MAX][MAX]; // 邻接矩阵
}Graph, *PGraph;

// 边的结构体
typedef struct _EdgeData
{
char start; // 边的起点
char end; // 边的终点
int weight; // 边的权重
}EData;

Graph是邻接矩阵对应的结构体。

vexs用于保存顶点,vexnum是顶点数,edgnum是边数;matrix则是用于保存矩阵信息的二维数组。例如,matrix[i][j]=1,则表示”顶点i(即vexs[i])”和”顶点j(即vexs[j])”是邻接点;matrix[i][j]=0,则表示它们不是邻接点。

EData是邻接矩阵边对应的结构体。

迪杰斯特拉算法

代码:


1
2
3
4
5
6
7
8
9
10
11
12
13
14
15
16
17
18
19
20
21
22
23
24
25
26
27
28
29
30
31
32
33
34
35
36
37
38
39
40
41
42
43
44
45
46
47
48
49
50
51
52
53
54
55
56
57
58
59
60
61
62
63
64
65
66
/*
* Dijkstra最短路径。
* 即,统计图(G)中"顶点vs"到其它各个顶点的最短路径。
*
* 参数说明:
* G -- 图
* vs -- 起始顶点(start vertex)。即计算"顶点vs"到其它顶点的最短路径。
* prev -- 前驱顶点数组。即,prev[i]的值是"顶点vs"到"顶点i"的最短路径所经历的全部顶点中,位于"顶点i"之前的那个顶点。
* dist -- 长度数组。即,dist[i]是"顶点vs"到"顶点i"的最短路径的长度。
*/

void dijkstra(Graph G, int vs, int prev[], int dist[])
{
int i,j,k;
int min;
int tmp;
int flag[MAX]; // flag[i]=1表示"顶点vs"到"顶点i"的最短路径已成功获取。

// 初始化
for (i = 0; i < G.vexnum; i++)
{
flag[i] = 0; // 顶点i的最短路径还没获取到。
prev[i] = 0; // 顶点i的前驱顶点为0。
dist[i] = G.matrix[vs][i];// 顶点i的最短路径为"顶点vs"到"顶点i"的权。
}

// 对"顶点vs"自身进行
// 初始化
flag[vs] = 1;
dist[vs] = 0;

// 遍历G.vexnum-1次;每次找出一个顶点的最短路径。
for (i = 1; i < G.vexnum; i++)
{
// 寻找当前最小的路径;
// 即,在未获取最短路径的顶点中,找到离vs最近的顶点(k)。
min = INF;
for (j = 0; j < G.vexnum; j++)
{
if (flag[j]==0 && dist[j]<min)
{
min = dist[j];
k = j;
}
}
// 标记"顶点k"为已经获取到最短路径
flag[k] = 1;

// 修正当前最短路径和前驱顶点
// 即,当已经"顶点k的最短路径"之后,更新"未获取最短路径的顶点的最短路径和前驱顶点"。
for (j = 0; j < G.vexnum; j++)
{
tmp = (G.matrix[k][j]==INF ? INF : (min + G.matrix[k][j])); // 防止溢出
if (flag[j] == 0 && (tmp < dist[j]) )
{
dist[j] = tmp;
prev[j] = k;
}
}
}

// 打印dijkstra最短路径的结果
printf("dijkstra(%c): \n", G.vexs[vs]);
for (i = 0; i < G.vexnum; i++)
printf(" shortest(%c, %c)=%d\n", G.vexs[vs], G.vexs[i], dist[i]);
}